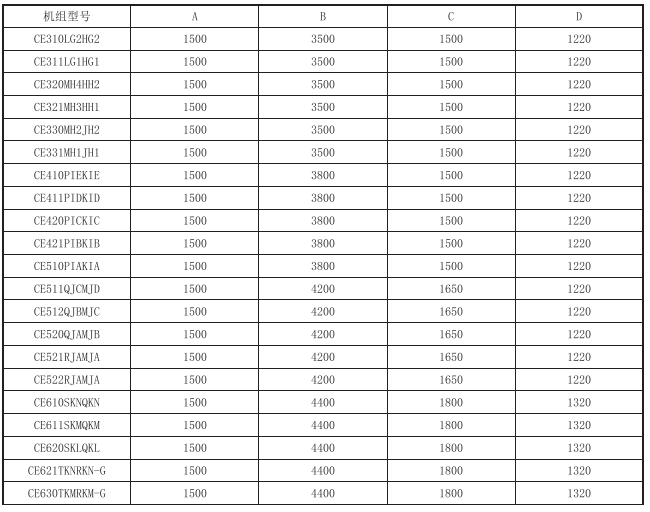
格力離心機CE系列CE310LG2HG2型號參數、CE311LGHG1、CE320MH4HH2、CE321MH3HH1、CE330MH2JH2、CE331MH1JH1
格力中央空調離心機CE系列
一、產品介紹
1.1產品定義
格力中央空調CE系列雙級定頻離心式冷水機組是新一代定頻離心機,采用R134a冷媒,雙級壓縮中間補氣技術,集節能、安全可靠、運行平穩、調節范圍寬,使用壽命長,操作維護簡單,噪聲低等優點于一身。格力CE系列雙級定頻離心式冷水機組COP高達6.77,且全系列產品都通過了AHRI認證機構認證。可廣泛應用于大型辦公樓宇、醫院、學校、商場以及工藝等制冷場所,特別適用于要求冷卻水水溫高或冷凍水水溫低的供冷場所。

二、產品性能參數表及測試工況
1、產品性能參數表






















以上是武漢格力中央空調提供的格力離心機技術參數